Kendra Sancho Vega
Progreso Curso de Cálculo
Primera Entrega de Portafolio

Cálculo y graficación de Límites.
Segunda Práctica

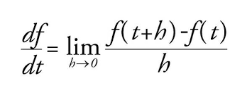
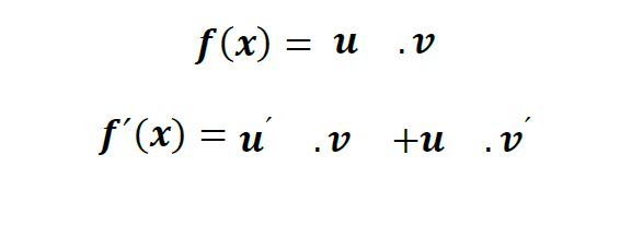
Cálculo de Derivadas.
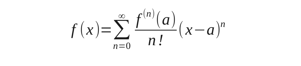
Proyecto de Cálculo Numérico

Calculadora interactiva de aproximación polinomial con análisis de error y experimentos comparativos.