Kendra Sancho Vega
Segunda Práctica

Enunciado

Ejercicio 1.a. Primera parte (Evaluar)

Ejercicio 1.a. Segunda parte (Indeterminador, Resolver y Evaluar)

Ejercicio 1.b. Primera parte (Evaluar, Indeterminador)

Ejercicio 1.b. Segunda parte (Resolver, Evaluar)

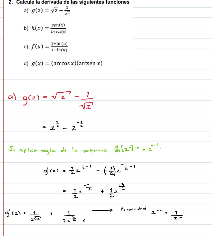
Ejercicio 2.a. (Calcule la derivada de la siguiente función)

Ejercicio 2.b. (Calcule la derivada de la siguiente función)

Ejercicio 2.c. (Calcule la derivada de la siguiente función)

Ejercicio 2.d. (Calcule la derivada de la siguiente función)

Ejercicio 3. (Calculo de derivada usando la regla de la cadena)

Ejercicio 4.e. (Derive según el orden indicado)

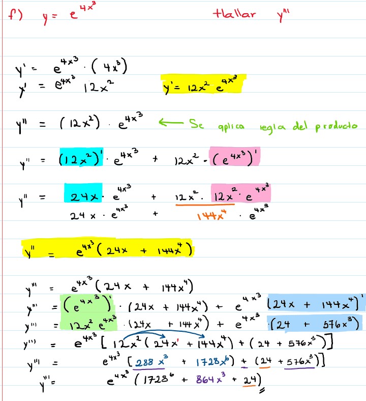
Ejercicio 4.f. (Derive según el orden indicado)

Ejercicio 5. (Derivación de función implícita